Tensor renormalization group approach to critical phenomena via symmetry-twisted partition functions

Akiyama S, Jha RG, Maeda J, Tanizaki Y, Unmuth-Yockey J
arXiv:2601.02681
arXiv
funding
DE-SC0025384

Abstract

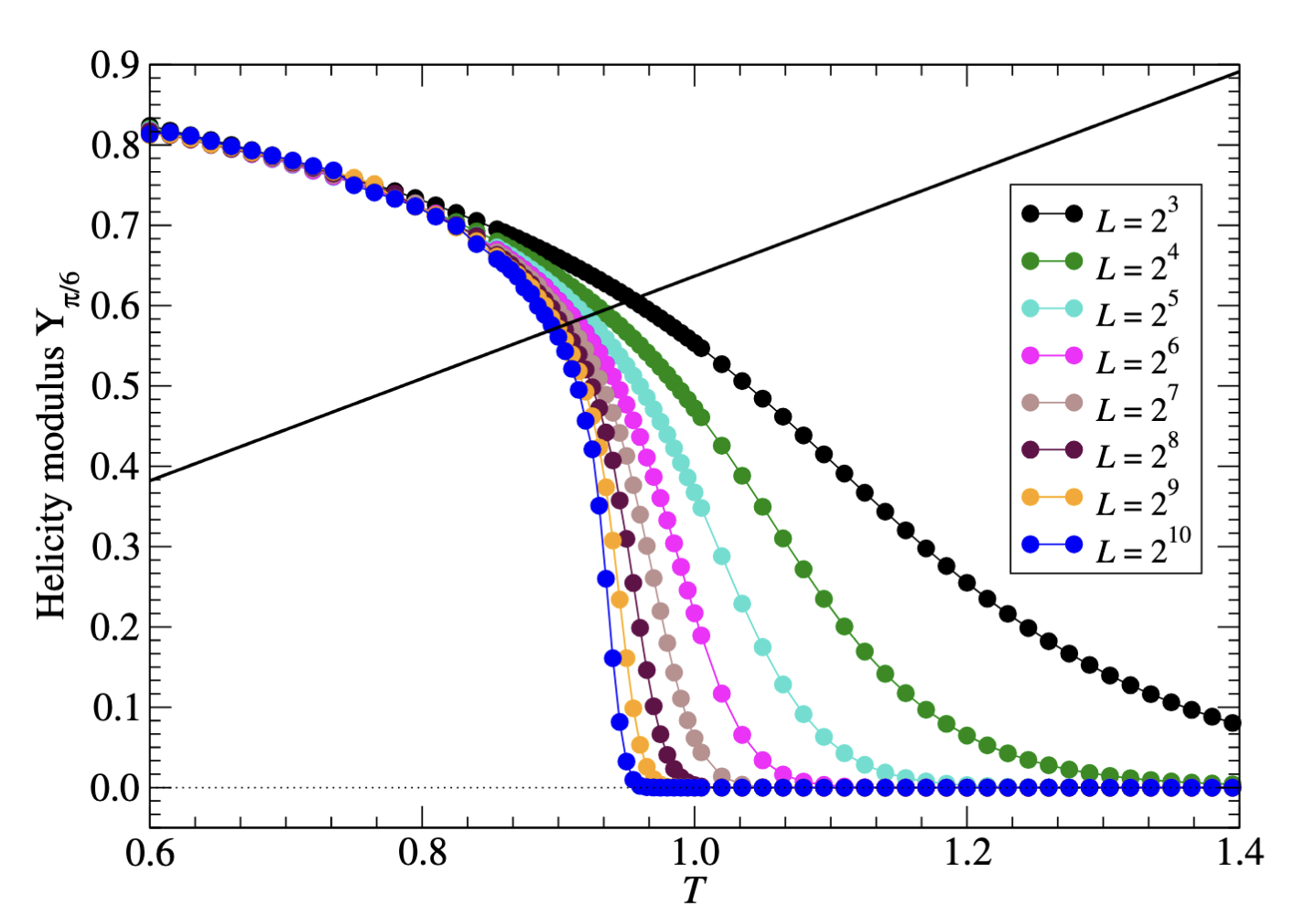
The locality of field theories strongly constrains the possible behaviors of symmetry-twisted partition functions, and thus they serve as order parameters to detect low-energy realizations of global symmetries, such as spontaneous symmetry breaking (SSB). We demonstrate that the tensor renormalization group (TRG) offers an efficient framework to compute the symmetry-twisted partition functions, which enables us to detect the symmetry-breaking transition and also to study associated critical phenomena. As concrete examples of SSB, we investigate the two-dimensional (2D) classical Ising model and the three-dimensional (3D) classical nonlinear sigma model, and we identify their critical points solely from the twisted partition function. By employing the finite-size scaling argument, we find the critical temperature Tc=2.2017(2) with the critical exponent \nu=0.663(33) for the 3D O(2) model. In addition, we also study the Berezinskii-Kosterlitz-Thouless (BKT) criticality of the 2D classical O(2) model by extracting the helicity modulus from the twisted partition functions, and we obtain the BKT transition temperature, TBKT = 0.8928(2).